布氏硬度检测方法初是在1899~1900年间由瑞典工程师布利尔(JA Brinell)在研究热处理对轧钢组织影响时提出来的。这种方法使用早,由于其压印痕较大,因而硬度值受试样组织显微偏析及成份不均匀的影响轻微,检测结果分散度小,复现性好,能比较客观地反映出材料的客观硬度。这止是布氏检测方法成为最,广泛和常用的硬度检测方法之一的原因。
布氏硬度检测方法原理
在规定的检测力(F)作用下将一定直径(D)的钢球(或硬质合金球压入试样表面保持一定时间,然后去除检测力。测量试样表面上所压印痕直径(d)。根据d 可以计算出压痕凹印面积(A)。布氏硬度值是检测力除以压痕球形表面积(A)所得的商。单位为9.807 N/mm。压大(即 F/A 值小)表示钢球人深,硬度值低;反之则硬度值高。
布氏硬度检测方法计算公式

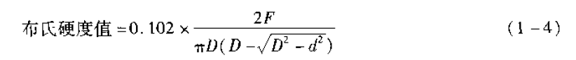
式(1-3)是国家标准GB231-63《金属布氏硬度试验方法》中使用的··个公式,从1984 年4 月发布GB 231-84 金属布民硬度试验法标准并于 1986 年3 月开实施新标准后,试验条件和计算公式都有所变化。因为在国际单位制(SI)中现行力值的计算单位由千克力(kgd)改为牛顿(简称牛N)。两种单位的换算关系为:1kef=9,80665 N;IN=0.101972 kg=0.102 k根据国际标准化组织(IS0)的规定。为了保持原硬度试验中的硬度数值不变,布民硬度值计算公式相应改变为:

式(I-4)表达力值单位为牛顿。表示在特定条件下 9.80 N/mm为一布氏硬度单位。因为!kg=9.807 N,所以试验力改用N后,公式乘以0.102 其结果与原用千克力是相同的。因此,所有原用试验力为千克力单位的技术文件、书刊、手册中的布氏硬度数值仍然是有效的。不因试验力力值单位的改变而修改。式(1-4)为 CB231一84 布民硬度数值的计算公式。一般硬度检测时均不必用以卜公式去计算,而是在测得乐痕直径(d)后,通过查表得到硬度值,压痕直径(d)与不同试验力下布氏便度(HBSHBW)值对照关
系见表2-1。应该指出: 公式(1-1)中的 A 所指的是压痕印面积。此时,HB 所代表的是单位叫印面积上的压应力。布利奈尔为仆么采用凹印面积而不采用投影面积,是企图以此来补偿金属硬化对所测得硬度值的影响。但是,这种补偿是不完全的。克·梅耶尔(KMeyer)认为取单位压痕投影面积上承受的应力作为硬度计算较为合理,提出了用投影面积计算的办法,这就是梅氏硬度。其公式如下;

式中Ad-压痕的投影面积/mm;
d-压痕的直径/mm;
H梅一梅氏硬度符号。
梅氏硬度虽有它的合理性也曾在国际硬度会议上得到承认因布氏硬度试验法在世界各国已沿用长久,现在仍在广泛使用,故梅氏硬度试验法目前尚未得到普及。
北京创诚致佳科技有限公司是国内专业从事硬度计销售、选型及方案定制服务商,提供橡胶硬度计的报价和测试方案,主营产品有 进口硬度计,布氏硬度计,维氏硬度计,洛氏硬度计,显微硬度计,橡胶硬度计,赵氏硬度计,里氏硬度计。如需采购金相显微镜等产品,欢迎联系创诚致佳咨询价格。
联系我们: Tel: 400-0022-082, E-mail: info@hugetall.com 网站地图